BAB 3
A. Penguat non inverting dan inverting
I. Topik : Penguat inverting dan non inverting sebagai pengkondisi sinyal.
II. Tujuan : Setelah melakukan kegiatan pembelajaran diharapkan mahasiswa dapat :
2.1. Menjelaskan karakteristik op-amp.
2.2. Membuat rangkaian penguat non inverting untuk pengkondisi sinyal
2.3. Menghitung gain penguat non inverting
2.4. Membuat rangkaian penguat inverting untuk pengkondisi sinyal
2. 6. Menghitung gain penguat inverting
III. Pendahuluan
Kegiatan pembelajaran untuk topik penguat inverting dan non inverting sebagai pengkondisi sinyal membahas tentang: karakteristirk op-amp, rangkaian penguat non inverting untuk pengkondisi sinyal, menghitung gain penguat non inverting, rangkaian penguat inverting untuk pengkondisi sinyal, menghitung gain penguat inverting,
IV. Materi
4.1. Karakteristik op-amp
Penguat operasional atau sering disebut op-amp merupakan komponen elektronika yang berfungsi untuk memperkuat sinyal arus searah (DC) maupun arus bolak-balik (AC). Penguat operasional terdiri atas transistor, resistor dan kapasitor yang dirangkai dan dikemas dalam rangkaian terpadu (intregated circuit).
Dalam sistem instrumentasi Op-amp sering digunakan untuk pembuatan pengkondisi sinyal. Op-amp dipilih karena:
a. Bentuknya praktis (kecil), tidak memerlukan ruang yang banyak
b. Kehandalan tinggi
c. Mudah digunakan
d. Mudah diperoleh di pasaran.
Gambar 3.1 menunjukkan blok diagram rangkaian Op-amp, gambar 3.2. simbol dari Op-amp dan gambar 3.3. rangkaian pengganti op-amp ideal.
Gambar 3.1. Blok diagram penguat operasional (op-amp)
Blok diagram op-amp terdiri dari beberapa bagian, yang pertama adalah penguat diferensial, tahap penguatan (gain), rangkaian penggeser level (level shifter) dan penguat akhir yang biasanya dirancang dengan penguat push-pull kelas B.
Gambar 3.2. simbul rangkaian op-amp.
Penjelasan:
Non inverting input = masukan tak membalik
Inverting input = masukan membalik
+VCC = tegangan catu positip
-VEE = tegangan catu negatip
Vout = tegangan keluaran
Gambar 3.3. Rangkaian penganti op-amp.
Penjelasan:
V1 (+V) = non inverting input ( masukan tak membalik)
V2 (-V) = inverting input ( masukan membalik)
Rin = (Zin ) impedansi input
Rout =(Zout ) impedansi output
Vout = tegangan keluaran
AVOL = penguatan loop terbuka.
(1) Karakteristik ideal op-amp dinyatakan dengan perjanjian sebagai berikut:
a. Penguatan loop terbuka tak terhingga, sehingga V+ = V−.
b. Impedansi input (Zin ) tak terhingga, sehingga op-amp tidak menarik arus dari sumber.
c. Impedansi output (Zout ) nol, sehingga tegangan output konstan meskipun beban berubah.
d. Penguatan loop terbuka (A) tak terhingga.
(2) Karakteristik real op-amp adalah sebagai berikut:
a. Masukan V+ dan V− menghasilkan keluaran Vo = A(V+ − V−) dimana penguatan loop terbuka A harganya terbatas dan berbanding terbalik dengan frekuensi. Harga perkalian A.f berkisar antara 0,1 s.d 10 MHz
b. Impedansi masukan terbatas, sekitar 1 MΩ untuk IC bipolar atau 106 MΩ untuk IC-FET
c. Pada saat V+ = V−, tegangan output tidak sama dengan nol. Tegangan ini dikenal sebagai tegangan offset. Tegangan offset terjadi karena ketidak seimbangan arus dan tegangan di dalam IC.
d. Masukan V+ dan V− tidak mengambil arus bias yang sama. Hal ini juga menimbulkan tegangan offset.
e. Arus keluaran terbatas, berkisar antara 10mA pada tegangan Vo = 10 Volt.
Contoh real parameter op-amp LM 741 ditunjukkan pada tabel 3.1
Tabel 3.1 Parameter op-amp yang penting
(3) Parameter op-amp
Parameter-parameter yang harus dipertimbangkan dalam pemilhan Op-amp adalah:
- Penguatan open-loop. Op-amp idealnya memiliki penguatan open-loop (AOL) yang tak terhingga. Namun pada prakteknya op-amp semisal LM741 memiliki penguatan yang terhingga kira-kira 100.000 kali. Sebenarnya dengan penguatan yang sebesar ini, sistem penguatan op-amp menjadi tidak stabil. Input diferensial yang amat kecil saja sudah dapat membuat outputnya menjadi saturasi.
- Unity-gain frequency. Op-amp ideal mestinya bisa bekerja pada frekuensi berapa saja mulai dari sinyal dc sampai frekuensi giga Herzt. Parameter unity-gain frequency menjadi penting jika op-amp digunakan untuk aplikasi dengan frekuensi tertentu. Parameter AOL biasanya adalah penguatan op-amp pada sinyal DC. Response penguatan op-amp menurun seiring dengan menaiknya frekuenci sinyal input. Op-amp LM741 misalnya memiliki unity-gain frequency sebesar 1 MHz. Ini berarti penguatan op-amp akan menjadi 1 kali pada frekuensi 1 MHz. Jika perlu merancang aplikasi pada frekeunsi tinggi, maka pilihlah op-amp yang memiliki unity-gain frequency lebih tinggi.
- Slew rate. Slew Rate yaitu penormalan batas lebar bandwidth limitations yang biasa disebut dengan "slew rate limiting" yaitu suatu efek untuk membatasi rate maksimum dari perubahan tegangan output piranti Op-amp. Normalnya slew rate volt per mikro detik dan range-nya sebesar 1 volt per mikro detik sampai 10 volt per mikro detik. Efek lain dari slew rate adalah membuat bandwidth lebih besar untuk sinyal output yang rendah dari pada sinyal output yang besar. Di dalam op-amp biasanya ditambahkan beberapa kapasitor untuk kompensasi dan mereduksi noise. Namun kapasitor ini menimbulkan kerugian yang menyebabkan response op-amp terhadap sinyal input menjadi lambat. Op-amp ideal memiliki parameter slew-rate yang tak terhingga. Sehingga jika input berupa sinyal kotak, maka outputnya juga kotak. Tetapi karena ketidak idealan op-amp, maka sinyal output dapat berbentuk ekponensial. Sebagai contoh praktis, op-amp LM741 memiliki slew-rate sebesar 0.5V/us. Ini menujukkan perubahan output op-amp LM741 tidak bisa lebih cepat dari 0.5 volt dalam waktu 1 us.
- Parameter CMRR. CMRR (Commom Mode Rejection Ratio) adalah suatu sifat yang bertalian dengan penguat diferensial. Bila tegangan-tegangan yang sama fasanya diumpankan ke dalam masukan-masukan penguat, keluaran akan nol. Parameter ini cukup penting untuk menunjukkan kinerja op-amp tersebut. Op-amp dasarnya adalah penguat diferensial dan mestinya tegangan input yang dikuatkan hanyalah selisih tegangan antara input V1 (non-inverting) dengan input V2 (inverting). Karena ketidak-idealan op-amp, maka tegangan persamaan dari kedua input ini ikut juga dikuatkan. Parameter CMRR diartikan sebagai kemampuan op-amp untuk menekan penguatan tegangan ini (common mode) sekecil-kecilnya. CMRR didefenisikan dengan rumus CMRR = ADM/ACM yang dinyatakan dengan satuan dB. Contohnya op-amp dengan CMRR = 90 dB, ini artinya penguatan ADM (differential mode) adalah kira-kira 30.000 kali dibandingkan penguatan ACM (commom mode). Kalau CMRR-nya 30 dB, maka artinya perbandingannya kira-kira hanya 30 kali. Kalau diaplikasikan secara real, misalkan tegangan input V1 = 5.05 volt dan tegangan V2 = 5 volt, maka dalam hal ini tegangan diferensialnya (differential mode) = 0.05 volt dan tegangan persamaan-nya (common mode) adalah 5 volt. Dengan CMRR yang makin besar diharapkan akan dapat menekan penguatan sinyal yang tidak diinginkan (common mode) sekecil-kecilnya. Jika kedua pin input dihubung singkat dan diberi tegangan, maka output op-amp seharusnya nol. Dengan kata lain, op-amp dengan CMRR yang semakin besar akan semakin baik.
- Op-amp ideal. Op-amp pada dasarnya adalah sebuah differential amplifier (penguat diferensial) yang memiliki dua masukan. Input (masukan) op-amp dinamakan input inverting dan non-inverting. Op-amp ideal memiliki open loop gain (penguatan loop terbuka) yang tak terhingga besarnya. Seperti misalnya op-amp LM741 yang sering digunakan oleh banyak praktisi elektronika, memiliki karakteristik tipikal open loop gain sebesar 104 ~ 105. Penguatan yang sebesar ini membuat op-amp menjadi tidak stabil, dan penguatannya menjadi tidak terukur (infinite). Disinilah peran rangkaian negative feedback (umpanbalik negatif) diperlukan, sehingga op-amp dapat dirangkai menjadi aplikasi dengan nilai penguatan yang terukur (finite). Impedasi input op-amp ideal mestinya adalah tak terhingga, sehingga mestinya arus input pada tiap masukannya adalah 0. Sebagai perbandingan praktis, op-amp LM741 memiliki impedansi input Zin = 106 Ohm. Nilai impedansi ini relatif sangat besar sehingga arus input op-amp LM741 seharusnya ada meskipun sangat kecil.
4.2. Rangkaian penguat non inverting untuk pengkondisi sinyal
Dalam penggunaannya op-amp dibagi menjadi dua jenis yaitu penguat linier dan penguat tidak linier. Penguat linier merupakan penguat yang tetap mempertahankan bentuk sinyal masukan, yang termasuk dalam penguat ini antara lain penguat non inverting, penguat inverting, penjumlah diferensial dan penguat instrumentasi. Sedangkan penguat tidak linier merupakan penguat yang bentuk sinyal keluarannya tidak sama dengan bentuk sinyal masukannya, diantaranya komparator, integrator, diferensiator, pengubah bentuk gelombang dan pembangkit gelombang. Gambar 3.4. menunjukkan rangkaian dari penguat non inverting. Penguat ini dinamakan penguat non inverting karena masukan dari penguat dimasukan pada kaki non inverting dari op-amp. Sinyal keluaran yang dihasilkan oleh penguat jenis ini sefasa dengan sinyal masukannya, seperti yang ditunjukkan pada gamabar 3.4.
Gambar 3.4. Rangkaian penguat non inverting
4.3. Menghitung nilai penguatan penguat non inverting
Untuk menghitung nilai penguatan penguat non inverting dapat dilakukan sebagai berikut
vin = v+
v+ = v- = vin
tegangan jepit pada R2 adalah
vout – v- = vout – vin
atau iout = (vout-vin)/R2
tegangan jepit pada R1 adalah
v- = vin
atau iR1 = vin/R1
iout + i(-) = iR1
i(-) = 0
iout = iR1
(vout – vin)/R2 = vin/R1
Vout = Vin (1 + R2/R1)
Jika penguatan G adalah perbandingan tegangan keluaran terhadap tegangan masukan, maka didapat penguatan op-amp non-inverting :
4.4. Rangkaian penguat inverting untuk pengkondisi sinyal
Gambar 3.6. Rangkaian penguat inverting
Gambar 3.5. menunjukkan rangkaian penguat inverting. Penguat ini dinamakan penguat inverting karena masukan dari penguat dimasukan pada kaki inverting dari op- Amp. Sinyal keluaran yang dihasilkan oleh penguat jenis ini berbeda fasa 1800dengan sinyal masukannya.
4.5. Menghitung nilai penguatan penguat inverting
Untuk menghitung nilai penguatan penguat inverting dapat dilakukan sebagai berikut:
v- = v+ = 0
tegangan jepit pada R1 adalah vin – v- = vin
tegangan jepit pada reistor R2 adalah vout – v- = vout
iin + iout = i- = 0 arus masukan op-amp adalah 0.
iin + iout = vin/R1 + vout/R2 = 0
Selanjutnya
vout/R2 = - vin/R1 …. atau
vout/vin = - R2/R1
Jika penguatan G didefinisikan sebagai perbandingan tegangan keluaran terhadap tegangan masukan, maka dapat ditulis
G=Vout/Vin=-R2/R1
sehingga Vout = -(R2/R1).Vin
V. Pendalaman materi
1. Hitung besar Vo soal gambar 3.7, jika R1=1KΩ, R2 = 10KΩ dan Vi= 100mV
Gambar 3.7. Rangkaian penguat non inverting gambar soal no 1
2. Hitung gain dan Vout rangkaian penguat non inverting gambar 3.8., jika SW1, SW2 dan SW3 di on-kan secara bergantian masukkan hasilnya pada tabel 3.2. jika nilai R1=R2=R3, dan nilai Rf seperti yang terlihat pada tabel 3.2.
Gambar 3.8. Rangkaian penguat non inverting gambar soal no2
Tabel 3.2. Tabel hasil perhitungan penguat non inverting
Rf
(Ω)
|
R
Ω
|
V p-p
|
Gain
(Rg+Rf)/Rg
| |
input
|
output
| |||
2k5
|
R1 =1k5
|
2mV
| ||
R2=330
|
5 mV
| |||
R3=100
|
10mV
| |||
3. Hitung besar Vo soal gambar 3.9, jika R1=1KΩ, R2 = 10KΩ dan Vi= 1V
Gambar 3.9. Rangkaian penguat inverting gambar soal no 3
4. Hitung gain dan Vout rangkaian penguat inverting gambar 3.8., jika SW1, SW2, SW3 dan SW4 di on-kan secara bergantian masukkan hasilnya pada tabel 3.3. jika nilai R1,R2,R3,R4 dan nilai Rf seperti yang terlihat pada tabel 3.3.
Gambar 3.10. Rangkaian penguat inverting gambar soal no4
Tabel 3.3. Tabel hasil perhitungan penguat inverting
Rf
|
R
|
V p-p
|
Gain
Vo/Vi
| |
input
|
output
| |||
3k3
|
R1 =10k
|
2 mV
| ||
R2 =1k5
|
4 mV
| |||
R3 =330
|
8 mV
| |||
R4 =100
|
10 mV
| |||
B. Penguat adder dan deferensial
I. Topik : Penguat adder dan deferensial sebagai pengkondisi sinyal.
II. Tujuan : Setelah melakukan kegiatan pembelajaran diharapkan mahasiswa dapat :
2.1. Membuat rangkaian penguat adder untuk pengkondisi sinyal
2.3. Menghitung gain penguat adder
2.4. Membuat rangkaian deferensial untuk pengkondisi sinyal
2. 6. Menghitung gain penguat deferensial
III. Pendahuluan
Kegiatan pembelajaran untuk topik penguat adder dan deferensial sebagai pengkondisi sinyal membahas tentang: rangkaian penguat adder untuk pengkondisi sinyal, menghitung gain penguat adder, rangkaian deferensial untuk pengkondisi sinyal dan menghitung gain penguat deferensial.
IV. Materi
4.1. Rangkaian penguat adder untuk pengkondisi sinyal
Gambar 3.11. menunjukkan rangkaian penguat adder, input V1 dan input V2 keduanya dimasukkan ke input inverting op-amp.
Gambar 3. 11 Rangkain penguat adder
4.2. Menghitung nilai penguatan penguat adder
Penguatan dari loop 1
Penguatan dari loop 2
Vout = Avi(CL).V1 + AV2(CL).V2
iin=i1+i2=
VOUT=(i1 +i2) Rf = ,
Jika R1=R2 maka,
4.3. Rangkaian penguat deferensial untuk pengkondisi sinyal
Gambar 3.12. menunjukkan rangkaian penguat defrensial. Rangkaian penguat deferensial digunakan untuk menguatkan selisih antara dua tegangan masukkan (V2-V1)
Gambar 3. 12 Rangkain penguat defrensial
4.4. Menghitung nilai penguatan penguat deferensial
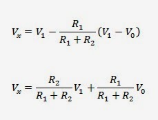
Untuk op-amp ideal berlaku = V+ = V- = Vx, i pada op-amp =0 oleh karena itu R1 dan R2 merupakan pembagi tegangan, begitu juga dengan R3 dan R4.
Tegangan Vx dilihat dari V1
Dari kedua persamaan diperoleh
Jika dipilih nilainya R1=R3 dan R2=R4, maka
V. Pendalaman materi
1. Hitung besar Vo gambar 3.13, jika R1=R2=R3=R4 =1KΩ, Vi=50mV, V2=20mV dan V3=10mV.
Gambar 3.13 Rangkaian adder gambar soal no1
2. Tentukan rumus untuk menghitung VOUT pada rangakain gambar 3.14.
3. Hitung besarnya VOUT pada rangakain gambar 3.15.
4. Hitung besar Vo gambar 3.16, jika R1=R2=R3=R4 =1KΩ, Vi=50mV dan V2=100mV
Gambar 3.14 Rangkaian adder gambar soal no2
Gambar 3.15 Rangkaian adder gambar soal no 3
Gambar 3.16 Rangkaian deferensial gambar soal no 4
C. Buffer (penyesuai impedansi)
I. Topik : Rangkain buffer (penyesuai impedansi) sebagai pengkondisi sinyal
II. Tujuan : Setelah melakukan kegiatan Pembelajaran diharapkan mahasiswa dapat :
2.1. Membuat rangkaian buffer untuk pengkondisi sinyal
2.2. Menghitung nilai penguatan rangkaian buffer
III. Pendahuluan
Aplikasi op-amp yang sering dibuat untuk pengkondisi sinyal adalah rangkaian penguat inverter, non-inverter, adder dan differensial. Pada pokok bahasan ini akan dijelaskan aplikasi op-amp yang paling dasar, yaitu sebagai penyangga (buffer). Kegiatan pembelajaran untuk topik buffer sebagai pengkondisi sinyal membahas tentang: rangkaian buffer untuk pengkondisi sinyal dan menghitung gain penguat buffer
IV. Materi
4.1. Rangkaian buffer untuk pengkondisi sinyal
Rangkaian buffer sering diperlukan dalam rangakain pengkondisi sinyal sebagai penyuasai impedansi karena rangkaian penyangga mempunyai karakteristik impedansi inputnya besar dan impedansi output kecil sesuai dengan karakteristik op-amp. Gambar 3.17. menunjukkan rangkaian buffer
Gambar 3.17. Rangkaian buffer
4.2. Menghitung nilai penguatan rangkaian buffer
Rangkaian buffer Pada gambar 3.17. dapat digolongkan ke penguat non inverting karena masukan dari penguat dimasukan pada kaki non inverting dari op-Amp. Oleh karena itu untuk mencari nilai penguatan tegangan menggunakan rumus :
Karena impedansi output op-amp kecil dan impedansi input op-amp sangat besar diperoleh,
Penguatan tegangan dari rangkaian buffer kurang dari 1. Rangkaian penyangga diperlukan pada rangakain pengkondisi sinyal agar rangkaian sebelum rangakain pengkondisi sinyal dan rangkaian sesudah rangakain pengkondisi sinyal impedansinya sesuai sehingga antar tingkat tidak terbebani.
V. Pendalaman materi
1. Jelaskan digunakan untuk apa rangkaian buffer pada rangkaian pengkondisi sinyal
2. Hitung berapa tegangan V out dari rangkaian gambar 3
Gambar 3.18 Rangkaian buffer gambar soal no 2
D. Penguat instrumentasi
I. Topik : Penguat instrumentasi sebagai pengkondisi sinyal.
II. Tujuan : Setelah melakukan kegiatan pembelajaran diharapkan mahasiswa dapat :
2.1. Membuat rangkaian penguat instrumentasi untuk pengkondisi sinyal
2.2. Menghitung nilai penguatan rangkaian penguat instrumentasi
III. Pendahuluan
Kegiatan pembelajaran untuk topik penguat instrumentasi sebagai pengkondisi sinyal membahas tentang: rangkaian penguat instrumentasi untuk pengkondisi sinyal dan menghitung nilai penguatan rangkaian penguat instrumentasi.
IV. Materi
4.1. Rangkaian penguat instrumentasi untuk pengkondisi sinyal
Penguat instrumentasi adalah suatu penguat untai tertutup (closed loop) dengan masukan diferensial dan penguatannya dapat diatur tanpa mempengaruhi perbandingan penolakan modus bersama (Common Mode Rejection Ratio). Sebuah rangkaian penguat instrumentasi ditunjukkan pada Gambar 3.19.
Gambar 3.19. Rangkaian penguat instrumentasi
4.1. Menghitung nilai penguatan rangkaian penguat instrumentasi
Pada gambar 3.19 rangkaian penguat instrumentasi disusun dari penguat penyangga (buffer) dan penguat diferensial dasar yang dihubungkan tahanan R3. Dari kedua op-amp masukan penguat penyangga terdapat pengikut tegangan yang berfungsi untuk mempertahankan resistansi masukan yang tinggi, dan tiga tahanan yang berfungsi untuk mengatur besarnya nilai penguatannya. Tahanan R1 merupakan potensiometer yang digunakan untuk mengatur penguatan, dan besarnya arus yang melalui R1.
Arus I mengalir melalui kedua tahanan R2 dan memberikan nilai tegangan:
Dengan mensubstitusikan persamaan diperoleh
Dari analisa rangkaian didapatkan tegangan keluaran yaitu:
Dengan mensubstitusikan persamaan serta mengasumsikan R5 = R4 didapatkan
Sehingga didapatkan penguatan (gain) yang besarnya:
V. Pendalaman materi
1. Hitung besarnya VRG dan VOUT pada gambar rangkaian 3.20. bila besarnya V1, V2, R dan RG seperti pada tabel 3.4. selanjutnya masukkan hasil perhitungan anda kedalam tabel 3.4
Tabel 3.4 Tabel hasil penguatan instrumentasi
No.
|
V1
(V)
|
V2
(V)
|
RG (kOhm)
|
R (kOhm)
|
V RG (V)
|
Vout (V)
|
1
|
1
|
2
|
3K3
|
3K3
| ||
2
|
2
|
1
|
3K3
|
3K3
| ||
3
|
1
|
3
|
1
|
3K3
| ||
4
|
3
|
3
|
1
|
3K3
|
Gambar 3.20. Rangkaian instrumentasi gambar soal no 1










































0 comments:
Post a Comment